浙江2019高考第三段平行投档线出炉
2019-08-10 09:35:27 文/贵州省毕节市 浏览 2894 次
摘要:本文是来自贵州省毕节市的网友投稿,由 孙鸿志儿子 编辑发布关于浙江2019高考第三段平行投档线出炉的内容介绍
- 科普一下什么是“智能家校互动平台”2018-12-13
- 培训学习机构做好家校互动的重要性2018-12-13
- 浅谈家校沟通的重要性2018-12-13
- 深化家校互动指导家长合理使用手机2018-12-10
原标题:浙江2019高考第三段平行投档线出炉
今天上午8:30,我省高考第三段平行志愿正式投档!接下来各高校进行网上录取,相关考生预计可于8月10日晚通过浙江省学习考试院网站(www.zjzs.net)或浙江考试微信公众号查询到自己的录取情况。
投档后,各高校专业投档分数线随即出炉。专业平行志愿中,各专业投档线是投档到该院校专业的最后一名考生的成绩,是投档后自然形成的。因此,考生可对照自己的志愿清单和相应专业投档线预估自己的档案去向。需注意的是,高考总分相同的考生依据位次、志愿顺序投档,若考生总分上线但位次或志愿序号未达到,仍将无法被投档到该院校专业。
特别提醒:三段线下考生也有升学机会!按照我省高考第三段投档情况,后续还将进行征求志愿。今年我省高职实施扩招,凡高考三段线上未被录取及三段线下的考生,均可参加后续征求志愿填报和投档。按照我省高考录取进程,8月11日将统一公布征求计划,8月12日填报征求志愿。有关考生请密切关注,把握好填报志愿和投档录取机会。
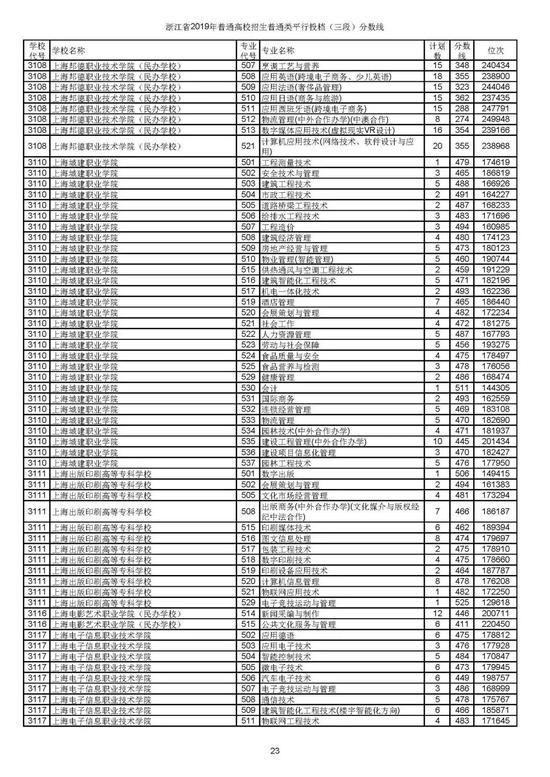
普通类第三段平行志愿专业投档线
注:位次栏目为空的,表示该学校专业本轮投档人数未满;表中计划数均为二段录取后剩余计划数。
来源:浙江省学习考试院
实习编辑:吴振莉
高中生家长可扫描下方二维码,关注新浪高考官方微信公众号高考家长圈(Id:sinagkjzq)。免费获取往届优秀家长经验、志愿填报技巧、考生心理辅导方法、考前营养搭配等第一手高考信息!陪孩子走好高考路。
声明:本站原创/投稿文章由板报学习网孙鸿志儿子编辑发布,所有权归板报学习网所有,转载务必注明来源;文章仅代表原作者观点,不代表板报学习网立场;如有侵权、违规,可直接反馈本站,我们将会作删除处理。
本文地址:https://www.banbaoedu.com/jiaxiao/4313.html
