河北高考8千余人0分 理科700分及以上27人
2019-06-24 06:33:09 文/湖南省汨罗市 浏览 2484 次
摘要:本文是来自湖南省汨罗市的网友投稿,由 渭南市中考成绩查询 编辑发布关于河北高考8千余人0分 理科700分及以上27人的内容介绍
原标题:河北高考8千余人0分 理科700分及以上27人
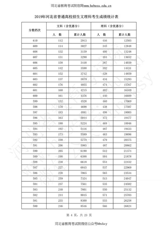
6月23日,河北省学习考试院网站公布了2019年河北省普通高校招生文理科考生成绩统计表,公布了24万余名文理科考生高考成绩,其中700分及以上27名,均为理科考生。 澎湃新闻注意到,河北此次普通高校招生理科考生成绩在703分及以上的达18人,679分及以上考生人数为349人;文科考生高考分数在650分至678分档的人数为332人。另外,河北省此次高考有8624名文理科考生成绩为0分,其中文科6475名,理科2149名。
另据此前河北省公布的普通高校招生各批各类录取控制分数线,理科一本线502分、文科549分;理科二本线379分、文科461分。























声明:本站原创/投稿文章由板报学习网渭南市中考成绩查询编辑发布,所有权归板报学习网所有,转载务必注明来源;文章仅代表原作者观点,不代表板报学习网立场;如有侵权、违规,可直接反馈本站,我们将会作删除处理。
本文地址:https://www.banbaoedu.com/jineng/2471.html
最新推荐